EUtweets - archief

Volg hier het doen en laten van twitterende Nederlandse europarlementariërs!

Archief

avatar

Rob Roos (JA21) do 15 okt 2020, 12:19

Onze @MinPres van @groenlinks. Want hier in NL akkoord gegaan met 49%, dan moet het in de #EU óók gebeuren om als NL competitief te blijven.

Echter, er is dan geen weg meer terug. Onze zeggenschap is weg. Brussel bepaalt en gaat een planeconomie opleggen
zeelandnet.nl/nieuws/rutte-e…

avatar

Samira Rafaela (D66) do 15 okt 2020, 12:15

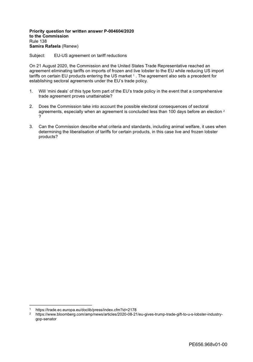
+1Debate in @EP_Trade on the EU-US mini deal. I have asked these questions to @EU_Commission. We should be wary of unintended impact on #USElections. The Commission apparently does not take this into account, but you can't close your eyes for the unfortunate timing of this deal.

avatar

Caroline Nagtegaal (VVD) do 15 okt 2020, 12:02

Thank you @ESPOSecretariat and all the ports for this opportunity to share my thoughts with you in this time of enormous challenges for you as European Ports!⚓️💪

citeert avatar

ESPO Secretariat do 15 okt 2020, 10:42

Thank you @C_Nagtegaal for joining ESPO’s Morning coffee ☕️☕️☕️ discussing green deal, TEN-T and digitalisation!

avatar

Mohammed Chahim (PvdA) do 15 okt 2020, 11:20

Event starts in 10 minutes.

citeert avatar

Mohammed Chahim (PvdA) vr 9 okt 2020, 16:03

Extending the role of the EU Emissions Trading System: a necessity or risking stability?

I will be discussing this 15/10 with:

@peterliese
@NilsTorvalds
William Todts (Executive Director @transenv)
@SHiesinger
Prof. Dr. Ottmar Edenhofer

Register👇

TinyURL.com/y4q5xj4e

avatar

Derk Jan Eppink do 15 okt 2020, 11:17

Nieuw GroenLinks credo: ‘Geen gezeik, iedereen rijk’.

citeert avatar

Elsevier Weekblad do 15 okt 2020, 09:51

Jesse Klaver deelt voor de verkiezingen alvast wat cadeaus uit. De plannen zijn peperduur; middeninkomens moeten betalen. Hopelijk zien kiezers in dat gratis niet bestaat, schrijft @marijnjongsma. buff.ly/3nR9C0b

avatar

Jeroen Lenaers (CDA) do 15 okt 2020, 11:09

@trouwschmidt @QuentinAries Haha, yes. Al weet ik niet wat tussen ‘avondklok’ en ‘noodtoestand’ de overdrijvende trap is

avatar

Jeroen Lenaers (CDA) do 15 okt 2020, 10:56

@QuentinAries @trouwschmidt OK, apologies and thanks for correcting. I should have said ‘state of emergency Strasbourg’

avatar

Jeroen Lenaers (CDA) do 15 okt 2020, 10:47

@markversteden Hij heeft toch maar 2 races gereden in die periode?

WK: niet voor Jumbo, maar voor Slovenië, en van Aert nam hem niks kwalijk.

LBL: gewonnen. Dat zullen zijn teamgenoten hem niet kwalijk nemen lijkt me.

Of mis ik iets?

avatar

Jeroen Lenaers (CDA) do 15 okt 2020, 10:44

Parlementariërs die het onverstandig vinden om tijdens een pandemie-piek honderden mensen vanuit ‘rood Brussel’ naar ‘avondklok Straatsburg’ op en neer te laten reizen, die zijn volgens deze Franse journalist aan het overdrijven. 😳😳😳

citeert avatar

Jean Quatremer do 15 okt 2020, 10:27

Cela étant, les députés exagèrent : Bruxelles est beaucoup plus touché par le coronavirus que Strasbourg.

avatar

Sophie in 't Veld (D66) do 15 okt 2020, 10:34

Cross party consensus on the importance of upholding our European values and the rule of law, at webinar hosted by ⁦@ilhankyuchyuk⁩ Also with ⁦@MSimecka⁩ ⁦@VladoBilcik⁩ ⁦@SLagodinsky⁩ ⁦@AdrianVL1982⁩ 🇪🇺⚖️

avatar

Agnes Jongerius (PvdA) do 15 okt 2020, 10:11

I am looking very much forward to work together with co-rapporteur @RadtkeMdEP and the shadows to reach a balanced and ambitious report.

We are committed to fully involve the social partners @etuc_ces @BusinessEurope as well.

in reply to avatar

Agnes Jongerius (PvdA) do 15 okt 2020, 09:45

Higher wages, decent working conditions and ending poverty!

We have a concrete plan vor Europe's social agenda!

I count on the support of @NicolasSchmitEU and the EU governments to make #SocialRights reality!

avatar

Rob Roos (JA21) do 15 okt 2020, 10:09

Dit zou tevens #multinationals sterk bevoordelen en het #MKB heeft er helemaal niets aan. Er ontstaat een sterk ongelijk speelveld tussen deze type ondernemingen en dat is zeer zorgelijk. Het sloopt de reeële economie.

citeert avatar

Jean Wanningen do 15 okt 2020, 09:55

ECB to consider using climate risk to steer bond purchases, says Lagarde on.ft.com/3186rHI via @FinancialTimes ECB overweegt het opkopen van obligaties van 'groene' bedrijven. Ik vraag mij af: valt dat te rijmen met hun onafhankelijkheidsclaim?

avatar

Peter van Dalen (CU) do 15 okt 2020, 10:08

@EP_President @Europarl_IT Nou ‘t kwartje is dan toch om één minuut voor 12 gevallen...🥴

avatar

Agnes Jongerius (PvdA) do 15 okt 2020, 09:45

Higher wages, decent working conditions and ending poverty!

We have a concrete plan vor Europe's social agenda!

I count on the support of @NicolasSchmitEU and the EU governments to make #SocialRights reality!

citeert avatar

S&D Group do 15 okt 2020, 08:33

Now is the time to decide on the kind of Europe we want to live in!

Together with @a_jongerius, we present today to Commissioner @NicolasSchmitEU our roadmap to make #SocialRights a reality for all Europeans.

Agnes explains 👇

avatar

Sophie in 't Veld (D66) do 15 okt 2020, 09:42

+3Onbekend bij het grote publiek, maar met tentakels op veel plekken in Europa: Palantir heeft banden met de Trump campagne, de Amerikaanse geheime diensten maar ook met overheden in heel Europa. Ik wacht al 4 maanden op antwoord van @EU_Commission op mijn vragen hierover👇

citeert avatar

Simon Hania do 15 okt 2020, 09:10

Wel jammer dat @FD_Nieuws niet even verder is gegaan met de hint van @Peteraanzee uit 2017: de huidige voorzitter van de CTIVD was toen lid van de adviesraad van Palantir en heeft daar vast veel relevante inzichten opgedaan voor zijn toezichtrol. fpf.org/communications…

avatar

Agnes Jongerius (PvdA) do 15 okt 2020, 09:39

De Europese Pijler van Sociale Rechten moet concreet worden en mensen meer zekerheid bieden!

Ons plan ligt klaar.

Ik reken op de steun van @NicolasSchmitEU en de regeringsleiders van de EU landen om dit plan te omarmen en ondertekenen op de Sociale Top in Porto!

in reply to avatar

Agnes Jongerius (PvdA) do 15 okt 2020, 09:34

Juist wanneer het moeilijk is, moeten we onze blik op de horizon richten.

We moeten sociale vooruitgang mogelijk maken voor iedereen!

Bekijk hier mijn agenda voor een Europa dat werkt:

europa.pvda.nl/nieuws/een-nie…

avatar

Agnes Jongerius (PvdA) do 15 okt 2020, 09:34

Juist wanneer het moeilijk is, moeten we onze blik op de horizon richten.

We moeten sociale vooruitgang mogelijk maken voor iedereen!

Bekijk hier mijn agenda voor een Europa dat werkt:

europa.pvda.nl/nieuws/een-nie…

in reply to avatar

Agnes Jongerius (PvdA) do 15 okt 2020, 09:24

We moeten ons eerlijk door de crisis slaan!

Vandaag geef ik het startschot voor Europa's nieuwe Sociale Agenda, met bindende sociale doelen:

Hogere minimumlonen, zekere contracten en betaalbaar wonen voor iedereen!

avatar

Jeroen Lenaers (CDA) do 15 okt 2020, 09:31

@RikWinkel @trouwschmidt Politiek is dus schijnbaar niet voor normaal denkende mensen? Daar ga ik me eens op bezinnen 😇

avatar

Bas Eickhout (GroenLinks) do 15 okt 2020, 09:27

Zelfs voor Sassoli ging Straatsburg te ver nadat Macron gisteren in veel Franse steden de noodtoestand heeft uitgeroepen (niet Straatsburg natuurlijk; Macron vond nog steeds dat we moesten komen...)

citeert avatar

David Sassoli do 15 okt 2020, 09:03

Annuncio con rammarico che la plenaria della settimana prossima non si svolgerà a Strasburgo, ma sarà in remoto.

La situazione in Francia e Belgio è molto grave. Gli spostamenti costituiscono un pericolo.

Strasburgo rimane la sede del @Europarl_IT e faremo di tutto per tornare.

avatar

Agnes Jongerius (PvdA) do 15 okt 2020, 09:24

We moeten ons eerlijk door de crisis slaan!

Vandaag geef ik het startschot voor Europa's nieuwe Sociale Agenda, met bindende sociale doelen:

Hogere minimumlonen, zekere contracten en betaalbaar wonen voor iedereen!

avatar

Agnes Jongerius (PvdA) do 15 okt 2020, 09:20

Zeker kunnen zijn van hogere lonen, zekere contacten en betaalbare woningen.

Dat wil ik bereiken in Europa's nieuwe sociale agenda!

Volg het hier LIVE 👇

europarl.europa.eu/committees/nl/…

avatar

Jeroen Lenaers (CDA) do 15 okt 2020, 09:15

Waarom dit soort besluiten - die voor ieder normaal denkend mens al weken duidelijk zijn - pas 3 dagen op voorhand genomen worden zal ik nooit snappen....

citeert avatar

David Sassoli do 15 okt 2020, 09:03

Annuncio con rammarico che la plenaria della settimana prossima non si svolgerà a Strasburgo, ma sarà in remoto.

La situazione in Francia e Belgio è molto grave. Gli spostamenti costituiscono un pericolo.

Strasburgo rimane la sede del @Europarl_IT e faremo di tutto per tornare.

avatar

Geretweet door Mohammed Chahim (PvdA) wo 14 okt 2020, 22:19

retweet avatar

Vera Tax (PvdA) wo 14 okt 2020, 22:14

@koninklijkhuis Vrouwen Eredivisie gestopt, Mannen Eredivisie niet 🤐 laat uw sporthart spreken met ⁦@MinPres@NOSsport nos.nl/l/2352316

avatar

Vera Tax (PvdA) wo 14 okt 2020, 22:14

@koninklijkhuis Vrouwen Eredivisie gestopt, Mannen Eredivisie niet 🤐 laat uw sporthart spreken met ⁦@MinPres@NOSsport nos.nl/l/2352316

avatar

Lara Wolters (PvdA) wo 14 okt 2020, 22:11

Mijn moeder zei vroeger altijd: het is niet én én. Mooi dat @LodewijkA dat ook duidelijk maakt aan Polen, dat én een schurkenstaat wil opbouwen, én Europees geld wil opstrijken 👇

@NOS nos.nl/l/2352342

avatar

Kati Piri wo 14 okt 2020, 20:57

Goed dat @LodewijkA initiatief heeft genomen om samen met oa. Scandinavische premiers druk te zetten op EU leiders: respect voor de rechtsstaat voorwaarde voor Europees geld.

nos.nl/l/2352342

[1 - 50] ... [58051 - 58100] [58101 - 58150] [58151 - 58200] 58201 - 58250 [58251 - 58300] [58301 - 58350] [58351 - 58400] ... [ 460538 ] volgende >>>